Pokaz slajdów

Aby rozpocząć pokaz slajdów, kliknij na jdną z nazw obrazków i kliknij na ikonę "start":

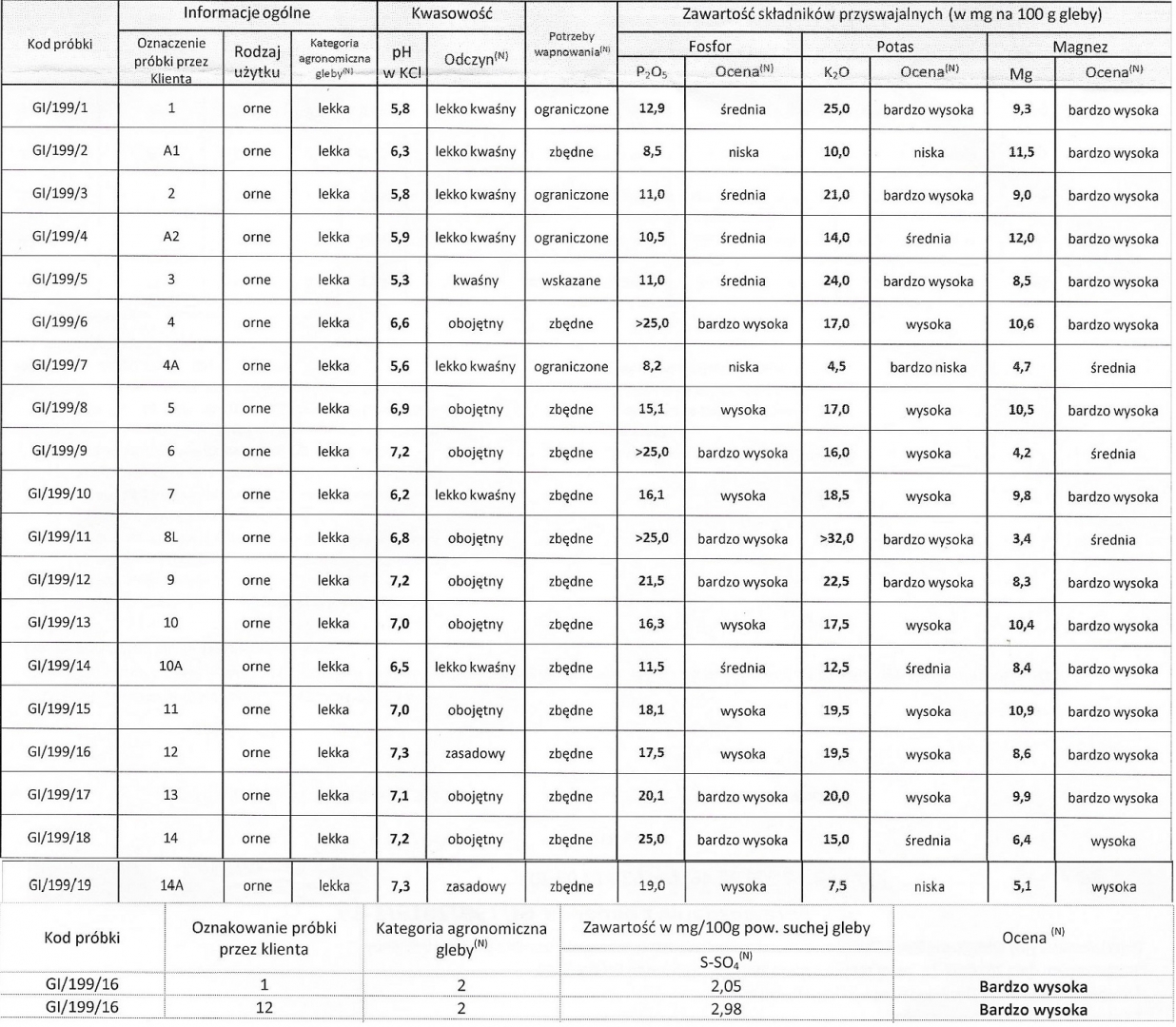
rów efekt końcowy, Rów przed wizytą odmularki, Czyszczenie rowu, Odbudowa przyczpey, Żmijka, JCB 531, Deszczoerz, Deszczmierz, Rsm 32, Wykres mocy Massey 5612, GR z lotu ptaka, Magazyn zbożowy, Sarny, Wiata, Ursus 1634, Stacja pogodowa Cordulus., Szopa, Beton, Utwardzanko, Farmsaat reprodukcja Ukraina, Kawasaki kxf 250, Opady 2021, bialski/lubelskie, Parametry pszenicy, Temperatura i wilgotność gleby, Koniec błota, Zima 02.04.2022, Swimer 2500 EcoLine, Agrolinija, Opady 2021, bialski/lubelskie, Swimmer 20 000 l, Sowul & Sowul ( Krasula Mućka ), Czekał na kombajn, Weź tu chłopie wymłóć., Kamyk, Deszczyk, Stosował ktoś ten środek do odstraszania saren i j..., Zbiornik ON FORTIS 1500l, Kruszonka, Wyniki kukurydza, Badanie kukurydzy, Średnia temperatura 2020, bialski/lubelskie, Opady 2020, bialski/lubelskie, Badanie gleb, Rękaw, Wapno weglanowe, Pryzma z kukurydzy, Rsm(s), Czyszczalnio zaprawiarka, Opolwiak standart, Obornik, Badanie gleby, Silos, Deszczomierz., Olej w silniku NH 7.170, Olej w silniku NH TD80D, Woda do podlewania, Młot wyburzeniowy Yato, Kukurydza, Środki ochrony roślin, Szykowanie mieszanki zbożowej, Zima 2020, W Podlaskim czuć wiosnę :-), Kiszonka z kukurydzy, Złote Łany, Nawozy, Dostawa paliwa, Pytanie, Słoma, Smok dystrybutora paliwa, Nawozy / Wapno, Bałwany, Polewaczka, Adaptacja Mailleux do JD, Daf, Mobilna hala udojowa, Dojarka przewodowa Westfalia, Bum bum, Zapasy, Bajzel, Kamień, Karcher HDS 11/18 4S, Mega Sill, Tatra do wożenia ziarna, John Deere L105, Paliwo-osad na dnie po 20000l, Paliwo, Drut w kukurydzy, 20190710 103946, SUPER N46 (Mocznik), Wapno, Dostawa paszy, Zabezpieczenia przed futrzakami, Pryzmy z sianokiszonką, Po majowych opadach, Kadet z pronarką, Odrzywki dla kukurydzy, Deszczomierz., Odżywki na kukurydze, Eurochron, Yara N-Tester Clip, Opady w ciągu ostatniego miesiąca..., Dekalb, Nasiona kukurydzy, Materiał siewny, Vredestein Traxion Versa, Nówki sztuki, Płyta główna Prominox winmaster CL2, Lely Astronaut A4, Automatyczna mieszalnia pasz, Automatyczna mieszalnia pasz, Automatyczna mieszalnia pasz, Sterowanie mieszalnią pasz, Pustaki, Iveco, Kukurydza, Farma fotowoltaiczna, Pustaki, Młyn, rap's, Podwórko, Poniemiecka grusza, Park wiatrowy, Park wiatrowy, Nawozy, Ogrodzenie podwórka, Jungheinrich 320s, Wapno EkoWap, CORN ENERGY Kiszone Gniecione Ziarno Kukurydzy, DOMINATOR Npk 6-18-34, Naziemna Stacja Paliw, wapno, de heus, Parametry, Kiszonki, Wyslodki suche, Taka tam awaria, linia do załadunku, Fortis 2500, TOLURON 700 SC / GALMET 20 SG, Badania., Ogradzanie podwórka, Górny Łącznik, Zapas pasz objętościowych, Zaprawy, Dostawa warlchaka, Zalepiony wał strunowy., Kukurydza w silosie, Pryzma qq, Zetor + fizyczni :D, Analiza sianokiszonki, Sianokiszonka, Słoma, Podwórko, Ledy w ursusie, stłuczone szyby, Bociany na dachu, Ładowanie bb, Brama, obornik, Kieszonka z kukurydzy 2017, dopływ wody do bajorka, bajorko, Ciężarówka z Agrovetu ;), Bez Pługa 2/18, Pryzma trawy, Zbiornik, Pirelli, Melioracja, Podkład po pieczarkach - pytanie, Podwórko, Próbki gleby, RSM, Bez Pługa 1/18, Siarczan Magnezu, Podłoże popieczarkowe, Utwardzanie podwórka, Ogrodzenie posesji, Fiskars X27, Ogrodzenie, Ranczo, Swimmer 2500 Eco Line, Bez Pługa 6/17, Uszczelniacz wom w pompie, Lina Kinetyczna, Suszarnia, Wyniki hamowni po kręceniu t7.170, Bez Pługa 5/17, Stihl 023c & MS 440, Bez Pługa 4/17, Szybkozłącze pneumatyczne POLMO do sprężarek., Podwórko, Żeremie, Wiata, Reklama Pzu zwykła bujda, Bez Pługa 3/17, HECTOR MAX 66.5 WG & TREND 90-EC, Agrosar, Sianokiszonka, Rękawy z lucerką, Rękaw z żyta, John Deerek x135R, Super 5, CAT 740, Wapno, Środki ochrony roślin, Pocztówka na Święta, YaraBela EXTRAN 27, Melioracja, Bez Pługa 2/17, Korekcja racic, Tachimetr aka "Fotoradar", Gnojowico-obornik, Karcher K5 Compact, Owies Bingo, LG 30.238, Mas, Operacja ,,BUDA'' -opis by @BLACK, Manitou, Owies Nawigator, Owies KWS Contender, Materiał siewny, Kukurydza, Analizy pasz objętosciowych., Wynik analizy kiszonki z kukurydzy Pionier, Nieużytek, Kukurydza, Bez Pługa 1/17, Analiza kiszonki z kukurydzzy, Silotite, Stacja ON, Pomiot, Analiza kukurudzy, prenumerata Bez Pługa, Yara Bela Extran 33,5, OrCal, VOLVO, Bez Pługa 4/16, Bez Pługa specjalny/16, Dostawa RSM, Tygodnik rolniczy numer z 2008 roku, Ceny w 2008, Ceny w 2008, Flizelina na ziemniaki, Kamień, KSC Kruszwica, moziaki glebowe, kukurydza, Spawarka inwentorowa Telwin Tecnica 211/s, Bez Pługa 3/16, Daf XF 95.430, Kamienie, Droga z łąki, Kurnik, Ciągnik siodłowy+naczepa, Zbiornik na olej, Tablica, Bez Pługa 2/16, Obornik, Nowa Brama, Buda dla psa ocieplana, Kojec dla psa, Tablice informacyjne, Płuczka do ziemniaków, Kuleczki, Wapno nawozowe, wiata dla cielaków, Wyjazd na targi DLG, Zdjęcia stanu upraw, Zdjęcia stanu upraw, Belki, Próbki gleby - mikro, Próbki gleby, Nasiona Folia Siatka, Warsztaty dla rolników, Opady z kwietnia, Hala, Badanie gleby, Wycinka, Mieszanka nawozów w podsiewacz pod kukurydzę, Ułan i Smolitop, Hytistretch 9x, Very Stretch 9x, Nasiona Kukurydzy KWS, Dron, Dźwig, Korekcja racic, Maisadour 12H, Termometr oraz oraz miernik opadów, Zaproszenie na wykład Bez Pługa + KNR, Kukurydza i gadżet, Siłownik Amazone, Droga, Torba Topsin, Mocznik Puławski, zaproszenie na wykład Bez Pługa + KNR, Szopa, loteria Bez Pługa, Silotite, Mieszalnia Pasz, Słomka, Bez Pługa 1/16, Nawozy, Nawozy dolistne, Odbiór młóta, Zbiornik, Materiały dydaktyczne -lekcja mechanizacji, las, Dostawa RSM, Paśnik, Przedwiośnie 2016 Wielkopolska, Badania 2015, Wyniki badań z powiśla, Kreda, bufor, witaminy, tłuszcz chroniony, drożdż..., Studnia - PROSZĘ O POMOC!, Pryzma Kukurydzy, Akumulator do wkrętarki, Ognisko, -U-R-S-U-S- C-360 DamianRol, Karcher hds, Opona Continental Contract r24 280/85, sata, Rozdzielacz, Wyniki badań prób gleb, Wyniki prób gleb, Zaproszenie na wykład, Prenumerata Bez Pługa, Filtry, Grudniowy grad, Bez Pługa 4/15, Bez Pługa 3/15, Bez Pługa 2/15, Bez Pługa 1/15, Bez Pługa 4/14, Bez Pługa 3/14, Bez Pługa 2/14, Bez Pługa 1/14, Bez Pługa 2/13, Bez Pługa Nr 1/13, Tuczarnia projekt, Skrzyniopaleta, Wyniki badan gleby, Wyniki badań gleby, Wysłodki, kamyk, Jęczmień, Wiatrak, Gleba, Próbki gleby, Drogowy Absurd, Bialfoska NPK+S 6-20-30+2, Zegary - 7745, Wtryski JOHN DEERE (Denso ), Nowe korki do Jonderka i Masseya, Odbiór Mleka, Sterta, Pomiot "bobek", vaderstad cultus, dłuto, Materiał siewny, Biogazownia, Dłuto, Dłuto, Transport wapna, Staw, Czyszczenie pszenicy, Żarówki LED, Krajobraz, Sterta Słomy, Słoma, Sterta, Jęczmień, Sianokiszonka., Żniwa 2015, Temperatura 01/06-26/07, Opady 01/06 -26/07, Nordkalk fast cal, Nóż od paszowozu, Fendt Parking Only, Ulewa, Podkładki, Zsyp, Zbiornik, Ekolist mono Cynk, Nawozy dolistne, Yara - Kristalon, Nawóz dolistny, plac, Zsyp, Zsyp, Humiseed, Nawozy, "perfumowanie" kukurydzy, Rura, John Deere LT170 Automatic, Siatka Netwrap, Sianokiszonka, Ogrodzenie, Polcalc, Malarka do przyczepy, Kompresor, Climax Taśmociąg, Zima, Kverneland Accord DL, Kubota, Agrotech, TVP, Środki Ochrony Roślin, Mieszanka traw KOŚNO-KISZONKOWA, Jęczmień jary IRON, Zegary - 7745, Ruszta, Amofoska Corn, SOR, Kamień, Antywylegacz, Waga, Polcalc kreda, Zestaw kluczy Magnusson, Honiton, Zestaw Kluczy Grene, John Deere X135R, Hełm Stihl, Wykrywacz mastitis, Gospodarstwo rolne, Fotel Grammer w Fendzie, Cebula, Rzepak, Wiata, Bela, Katalag do R'ki, CAN 27, dystrybutor ON, Freelander, Wiatraki, Polny kamyczek, Łuk drogi, Renault Premium + Magyar, Budowa obwodnicy bagienka, widły, paleciak, Badania gleby, Stóg, Materiał siewny, zaprawianie, Star 1142, Star 1142, chmura vs dzialo przeciwgradowe, Bela, Zwolnica, Odbiór mleka, Grad, Grad, Oleje i filtry, miernik wilgotności, Nizina, Sciernisko Uprawione, Próbka gleby, Próbka gleby, Próbki gleby, Belki, Bułgar, Bułgar + Toyota, Toyota, Bele sianokiszonki, Rzeka i Strumień, 2 pokos, Sianokiszonka Workach, Prezenty, Zegar - 7745, Wapno, sianokiszonka, Bela siana, Polifoska 8, Zetor Forterra 115, Rozdzielnice do BIN-ów, Lewareczek, Taki mamy klimat, utwardzenie podwórka, Kulki., Nowa rzeka., Taka o to atrakcja -dzisiaj., Murray, Kukurydza, Wiertarka stołowa Einhell BT-BD 701, Defalin Astra, Sterta, Odżywki, JD RUN 51, John Deere X155R, Szalunki, Stawik., Stawik., Stihl'e, Zaprawiarka, Nasiona kukurydzy, Centralna ewidencja rolników polskich, Badania, ogrodzenie, Wylot dreny., Amalog+ i Tractor Speed, Wywóz ziemniaków, A po Fajranicie., Plandeka, Podwórko, Kalendarz firmowy, Badania, Farma wiatrowa, Nawozy, Niwelator Stanley AL24, Blaszki, Ogródek, Badania 2014/1, KWS, Lasanek, Lasanek, drift, Volvo, Monitoring, Wjazd na łakę, Zima 2014, nowa brama, Stóg, Monitoring, Monitoring w oborze i podwórku, Wagon, Zabezpieczenie gniazdek, podwórko, Żelasko, Wiata, Szczypce ?, Nagroda za zajęcie I miejsca - eliminacje powiatowe., Część iluminacji w ogrodzie, Część nawozu, TIR, TIR., Zetor Proxima - Docisk - Pomocy !, Wrota, Silosy, Gospodarstwo, Pryzma nr 1, Pryzma nr 2, Słoma, Sianokiszonka, Pola, Badania 2013, Pryzma, "Żuławy" Dziadka, Ścieżka po rapsie, Droga, Droga, Pryzma kukurydzy, Waga, Pryzma kukurydzy, słoma, Myjka, Farma Wiatrowa, Domek, Domek, Bela słomy, Smarownica JCB 992-11300, Sianokiszonka, Zboża, Jęczmień Jary Olof, Wapno Węglanowe Jura, Podwórko podczas deszczu., Po rozbiórce, Budynek do rozbiórki, Podkarpacki klimat, Sianokiszonka, Widok z góry, efekt sobotniej pracy, John Deere 855D, Bele z 1 pokosu, Karcher HDS 895, korek spustowy zbiornika paliwa Valtra, Komplet mebli ogrodowych, Domek, garaż, może coś innego, Trawnik, Grad, Sulin obory, Mieszadło, Laguna, Majówka zPRP, odkrywka, Silosy, John Deere X155R, Wiadukt kolejowy, Zasilanie stawu., To sie nababrałem, Kojce dla cieląt, Marchew paszowa, Gospodarstwo, Gospodarstwo, Zima, Nawozik, karcher, Krajobraz, Krajobraz z dachu, Dolina Noteci, Rozbiórka domu, Dom, Rzepak z łąką., Budowa, Podwórze, Park maszynowy, Wiatraki, Ogłoszenie, "Stołówka" dla dzików, "Stołówka" dla dzików, "Stołówka" dla dzików, "Stołówka" dla dzików, "Stołówka" dla dzików, "Stołówka" dla dzików, "Stołówka" dla dzików, Karcher HD 6/16-4 MX Plus, tunel foliowy 60 m, Mała encyklopedia niedoborów, Materiał Siewny Pszenica Jara, Melioracja fot.3, Melioracja fot.2, Melioracja fot.1, Podwórko, Tabliczka, Wiatraki, Gorczyca biała., Palnik na ON, Nagrzewnice na ON, Wiatraki, Pryzmy, Zejście dla krów, Gleba, Zima na drodze, Odbiór buraczków, Migomat, Gospodarstwo, Listwa wibracyjna i zacieraczka śmigłowa + talerz, Poidło izolowane, Pola, Kamyczek, Kamienie, nowy kanał, Maszewy 2007, Gospodarka z Lotu Ptaka 2007r, Piec z podajnikiem WELDER, Ropa center, Ropa euromaus, Rzepak ale nie o to chodzi, Myślałem że uprawie całość, HQ 357xp, Same Iron, glina, Baloty, Fuchs Lubritech + Renolit, Stóg z kostek, Skrzynka narzędziowa., Odchowalnia drobiu, Kosa spalinowa Efco Stark 25, Aktualny wygląd gospodarstwa, Wjazd do gospodarstwa, Nabój ze smarem, Wjazd do podwórka w deszczu, Podwórze, Podwórko