Próbki gleby

Próbki gleby


Cz, 26 maja 2016, 22:09
3429
Avatar użytkownika
michugd1
Zaczynający przygodę
 
Posty: 60
Obrazki: 203
Dołączył(a): N, 10 czerwca 2012, 23:00
Lokalizacja: Golub-Dobrzyń

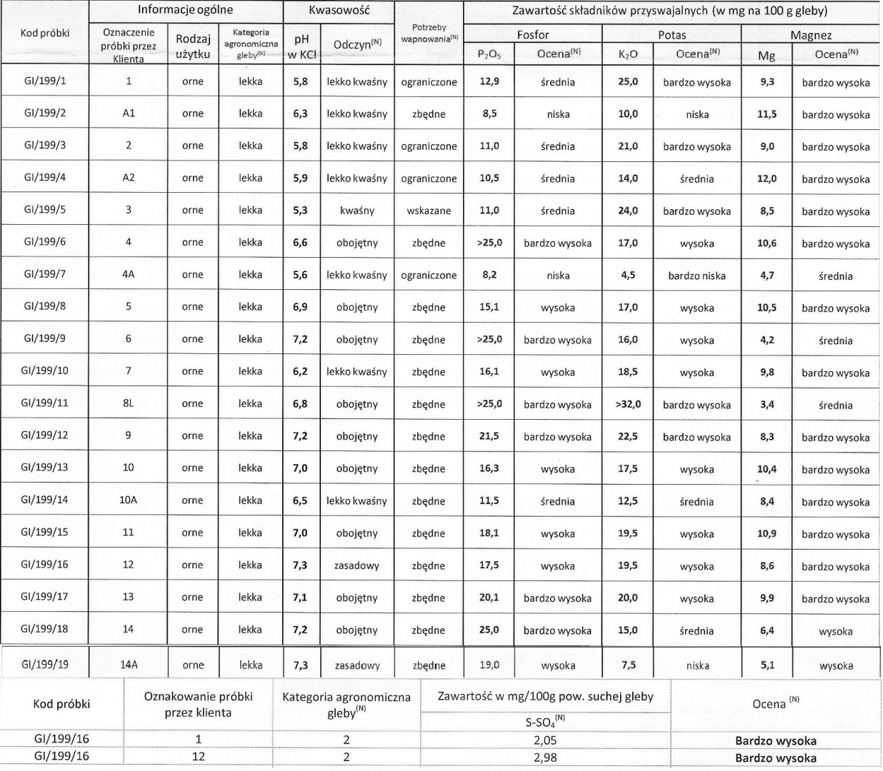
Opis obrazka

Próbki z literą A pobierane z głębokości ok. 30 cm reszta ok 20cm

Komentarz przez Patryk3802 » Cz, 26 maja 2016, 22:14

Kolega tu chce chyba wszystkim na ambicje wjechać:D
Avatar użytkownika
Patryk3802
Zaczynający przygodę
 
Posty: 28
Obrazki: 86
Dołączył(a): N, 25 listopada 2012, 14:28
Lokalizacja: Woj. Dolnośląskie, powiat wołowski DWL

Komentarz przez michugd1 » Cz, 26 maja 2016, 22:18

Chce pokazać ze rozbieżności w badaniu co pół roku mogą wynieść nawet +/- 50 % ;)
Avatar użytkownika
michugd1
Zaczynający przygodę
 
Posty: 60
Obrazki: 203
Dołączył(a): N, 10 czerwca 2012, 23:00
Lokalizacja: Golub-Dobrzyń

Komentarz przez mac » Cz, 26 maja 2016, 23:23

Albo te badania to lipa.
mac
 
Posty: 0
Obrazki: 25
Dołączył(a): N, 24 czerwca 2012, 17:55

Komentarz przez michugd1 » Pt, 27 maja 2016, 06:07

@mac
Być może . Ojciec był w gospodarstwie mlecznym i pracownik opowiadał , ze wysyłali próbki kiszonki z qq do rożnych laboratoriów ( Niemcy , Czechy , Polska ) i wyniki tej samej kiszonki bardzo rozbieżne wychodziły :) także tu może być podobnie :)
Avatar użytkownika
michugd1
Zaczynający przygodę
 
Posty: 60
Obrazki: 203
Dołączył(a): N, 10 czerwca 2012, 23:00
Lokalizacja: Golub-Dobrzyń

Komentarz przez zuras » Pt, 27 maja 2016, 07:37

Tylko pytanie czy sie sie sugierować tymi najlepszymi czy tymi najgorszymi ? :lol: U mnie tez czasami dziwne wyniki wychodzily
zuras
Zaczynający przygodę
 
Posty: 87
Obrazki: 58
Dołączył(a): N, 10 czerwca 2012, 10:11

Komentarz przez luki91 » Pt, 27 maja 2016, 21:55

michugd1 napisał(a):Chce pokazać ze rozbieżności w badaniu co pół roku mogą wynieść nawet +/- 50 % ;)
Rozbieżności pomiędzy tymi wynikami badań z Twojej galerii? Tu i tu oznaczone próbki z danego pola są tymi samymi numerami?
luki91
Zaczynający przygodę
 
Posty: 21
Obrazki: 8
Dołączył(a): Wt, 12 czerwca 2012, 12:51

Komentarz przez michugd1 » So, 28 maja 2016, 17:07

@luki91
Te ze zdjecia z 26maja to próbki 1-5 odpowiadają sobie . 6 próbka z 26 maja odpowiada próbce 8 z 28 października 2015 , próbka 7 ---> próbce 9 , próbka 8 -->próbce 9 .
Próbki od 9 do 14 odpowiadają próbką 1-6 stąd gallery/image_page.php?album_id=0&image_id=18039 :)
Avatar użytkownika
michugd1
Zaczynający przygodę
 
Posty: 60
Obrazki: 203
Dołączył(a): N, 10 czerwca 2012, 23:00
Lokalizacja: Golub-Dobrzyń

Powrót do Inne nie dające się skategoryzować